Applicazione dei principi della dinamica
Il moto lungo il piano inclinato
Il moto lungo il piano inclinato
Esercizio 2 - Un operaio deve sollevare una cassa di massa 96 kg dal pavimento e collocarla su un ripiano ad altezza 1,2 m da terra. La massima forza che l’uomo riesce ad applicare alla cassa è 380 N, che non è sufficiente per sollevare la cassa verticalmente, per cui...
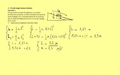
Il moto lungo il piano inclinato
Esercizio 1 - Per percorrere un tratto di lunghezza L su un piano inclinato privo di attrito, un blocco di plastica che parte da fermo impiega 1,53 s. Facendolo partire da un punto più alto, in modo che debba percorrere 1,2 m in più, impiega 0,31 s in più. Determina...
Il diagramma delle forze per un sistema di corpi in movimento
Nessun risultato
La pagina richiesta non è stata trovata. Affina la tua ricerca, o utilizza la barra di navigazione qui sopra per trovare il post.
L’equilibrio del punto materiale
Nessun risultato
La pagina richiesta non è stata trovata. Affina la tua ricerca, o utilizza la barra di navigazione qui sopra per trovare il post.
L’equilibrio del corpo rigido
Nessun risultato
La pagina richiesta non è stata trovata. Affina la tua ricerca, o utilizza la barra di navigazione qui sopra per trovare il post.
Il moto di un proiettile lanciato orizzontalmente
Nessun risultato
La pagina richiesta non è stata trovata. Affina la tua ricerca, o utilizza la barra di navigazione qui sopra per trovare il post.
In moto di un proiettile con velocità iniziale obliqua
Nessun risultato
La pagina richiesta non è stata trovata. Affina la tua ricerca, o utilizza la barra di navigazione qui sopra per trovare il post.
La velocità angolare
Nessun risultato
La pagina richiesta non è stata trovata. Affina la tua ricerca, o utilizza la barra di navigazione qui sopra per trovare il post.
La forza centripeta e la forza centrifuga apparente
Nessun risultato
La pagina richiesta non è stata trovata. Affina la tua ricerca, o utilizza la barra di navigazione qui sopra per trovare il post.
Il moto armonico
Nessun risultato
La pagina richiesta non è stata trovata. Affina la tua ricerca, o utilizza la barra di navigazione qui sopra per trovare il post.
L’accelerazione nel moto armonico
Nessun risultato
La pagina richiesta non è stata trovata. Affina la tua ricerca, o utilizza la barra di navigazione qui sopra per trovare il post.
Il moto armonico di una massa attaccata a una molla
Nessun risultato
La pagina richiesta non è stata trovata. Affina la tua ricerca, o utilizza la barra di navigazione qui sopra per trovare il post.
Il moto armonico di un pendolo
Nessun risultato
La pagina richiesta non è stata trovata. Affina la tua ricerca, o utilizza la barra di navigazione qui sopra per trovare il post.

