I principi della dinamica e
della relatività galileiana
Il primo principio della dinamica
Nessun risultato
La pagina richiesta non è stata trovata. Affina la tua ricerca, o utilizza la barra di navigazione qui sopra per trovare il post.
Il principio di relatività galileiana
Il principio di relatività galileiana
Esercizio 2 - Un turista cammina alla velocità di 3,6 km/h, in direzione della prua, sul ponte di una nave da crociera che si muove alla velocità costante di 36 km/h. Nello stesso verso di marcia della nave, 5,0 km più avanti, vede un peschereccio che naviga alla...
Il principio di relatività galileiana
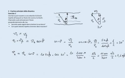
Esercizio 1 - Una barca può muoversi a una velocità di 10 km/h rispetto all’acqua di un fiume che scorre a 5,0 km/h. Il barcaiolo vuole attraversare il fiume perpendicolarmente alle rive. Secondo quale angolo deve orientare la sua barca?Con quale velocità rispetto al...
Il secondo principio della dinamica
Problemi generali sui principi della dinamica
Esercizio 8 La sonda Cassini-Huygens è stata realizzata con lo scopo di studiare Saturno e il suo sistema di anelli e satelliti, in particolare Titano. Immaginiamo che la sonda si avvicini a Titano con velocità costante quando la spinta del motore verso l’alto...
Problemi generali sui principi della dinamica
Esercizio 7 - Un’asta di 910 g è sospesa al soffitto tramite due molle identiche, di costante elastica 100 N/m e lunghezza a riposo 20 cm. L’asta viene tirata verso il basso e le molle di ventano lunghe 30 cm. Con quale accelerazione inizierà a muoversi l’asta quando...
Problemi generali sui principi della dinamica
Esercizio 5 In Alaska un postino consegna la posta usando una slitta che ha coefficiente di attrito dinamico con il suolo innevato pari a 0,12. L’uomo ha una massa di 80 kg, la slitta di 120 kg e i pacchi di posta da consegnare hanno una massa complessiva di 320 kg....
I sistemi di riferimento non inerziali e le forze apparenti
Nessun risultato
La pagina richiesta non è stata trovata. Affina la tua ricerca, o utilizza la barra di navigazione qui sopra per trovare il post.
Il terzo principio della dinamica
Nessun risultato
La pagina richiesta non è stata trovata. Affina la tua ricerca, o utilizza la barra di navigazione qui sopra per trovare il post.




