I principi della dinamica e
della relatività galileiana
Il primo principio della dinamica
Nessun risultato
La pagina richiesta non è stata trovata. Affina la tua ricerca, o utilizza la barra di navigazione qui sopra per trovare il post.
Il principio di relatività galileiana
Nessun risultato
La pagina richiesta non è stata trovata. Affina la tua ricerca, o utilizza la barra di navigazione qui sopra per trovare il post.
Il secondo principio della dinamica
Il secondo principio della dinamica
Esercizio 3 Per trascinare un carrello di massa 400 kg un operaio applica una forza di 50 N a una corda inclinata di 30° rispetto al pavimento. Calcola la distanza percorsa dal carrello in 30 s.Calcola il tempo necessario perché il carrello raggiunga la velocità di...
Il secondo principio della dinamica
Esercizio 2 - Il sistema di lancio degli shuttle utilizzati dalla NASA fino al 2011 consisteva in due razzi laterali con una massa al lancio di 580 t ciascuno, di cui l’85% in carburante. Inoltre, la massa del tank dello Shuttle al momento del decollo è di 740 t. Che...
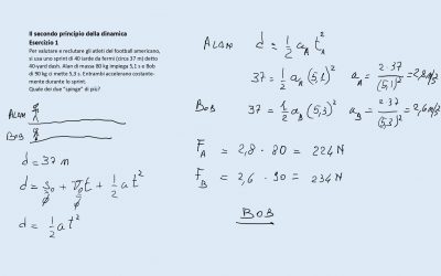
Il secondo principio della dinamica
Esercizio 1 Per valutare e reclutare gli atleti del football americano, si usa uno sprint di 40 iarde da fermi (circa 37 m) detto 40-yard dash. Alan di massa 80 kg impiega 5,1 s e Bob di 90 kg ci mette 5,3 s. Entrambi accelerano costante- ente durante lo sprint. Quale...
I sistemi di riferimento non inerziali e le forze apparenti
Nessun risultato
La pagina richiesta non è stata trovata. Affina la tua ricerca, o utilizza la barra di navigazione qui sopra per trovare il post.
Il terzo principio della dinamica
Nessun risultato
La pagina richiesta non è stata trovata. Affina la tua ricerca, o utilizza la barra di navigazione qui sopra per trovare il post.


