Esercizi di fisica
  • Home
  • Matematica
    • Primo
    • Secondo
    • Terzo
    • Quarto
    • Quinto
  • Fisica
    • Meccanica e Termodinamica
      • I principi della dinamica e la relatività galileiana
      • Applicazione dei principi della dinamica
  • Scienze e Tecnologie Informatiche
Seleziona una pagina

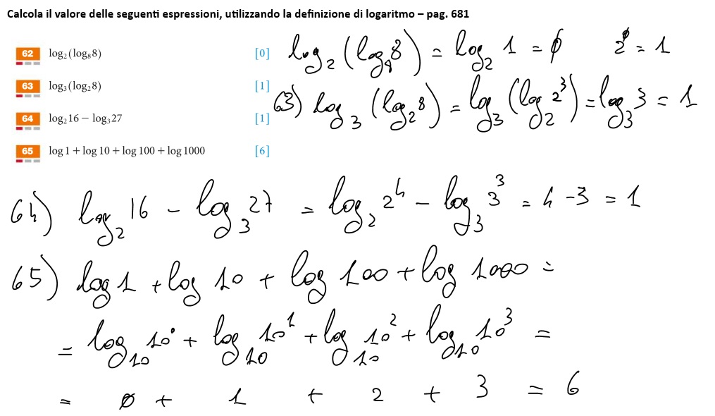
Logaritmi – Es 62-63-64-65 pag. 681

da myphi | Ott 22, 2024 | Logaritmi, Matematica | 0 commenti

Invia commento Annulla risposta

Il tuo indirizzo email non sarà pubblicato. I campi obbligatori sono contrassegnati *

Apply knowledge improving skills - Applicando le nostre conoscenze miglioriamo le nostre abilità