Esercizi di fisica
  • Home
  • Matematica
    • Primo
    • Secondo
    • Terzo
    • Quarto
    • Quinto
  • Fisica
    • Meccanica e Termodinamica
      • I principi della dinamica e la relatività galileiana
      • Applicazione dei principi della dinamica
  • Scienze e Tecnologie Informatiche
Seleziona una pagina

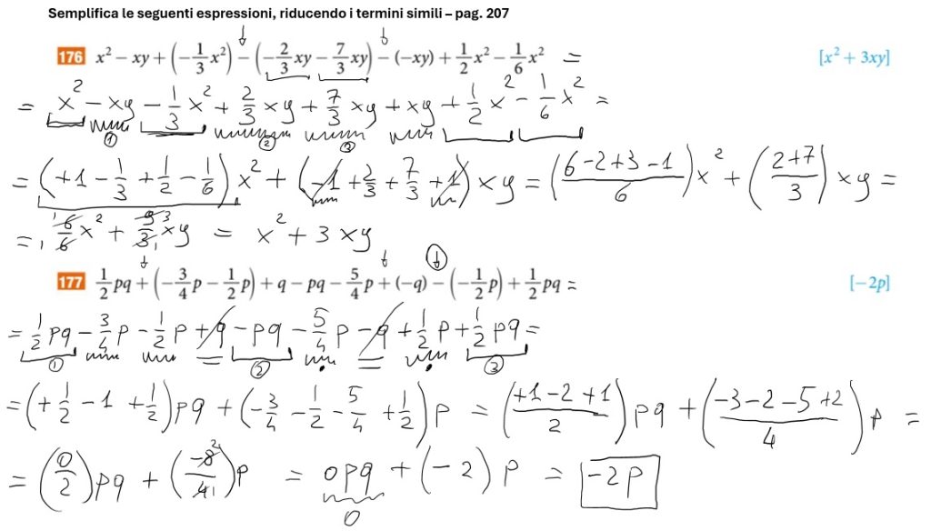
Monomi – Esercizi sulla somma algebrica – pag. 207 es 176-177-178-179-180-181

da myphi | Nov 16, 2024 | I Monomi | 0 commenti




Invia commento Annulla risposta

Il tuo indirizzo email non sarà pubblicato. I campi obbligatori sono contrassegnati *

Apply knowledge improving skills - Applicando le nostre conoscenze miglioriamo le nostre abilità