Esercizi di fisica
  • Home
  • Matematica
    • Primo
    • Secondo
    • Terzo
    • Quarto
    • Quinto
  • Fisica
    • Meccanica e Termodinamica
      • I principi della dinamica e la relatività galileiana
      • Applicazione dei principi della dinamica
  • Scienze e Tecnologie Informatiche
Seleziona una pagina

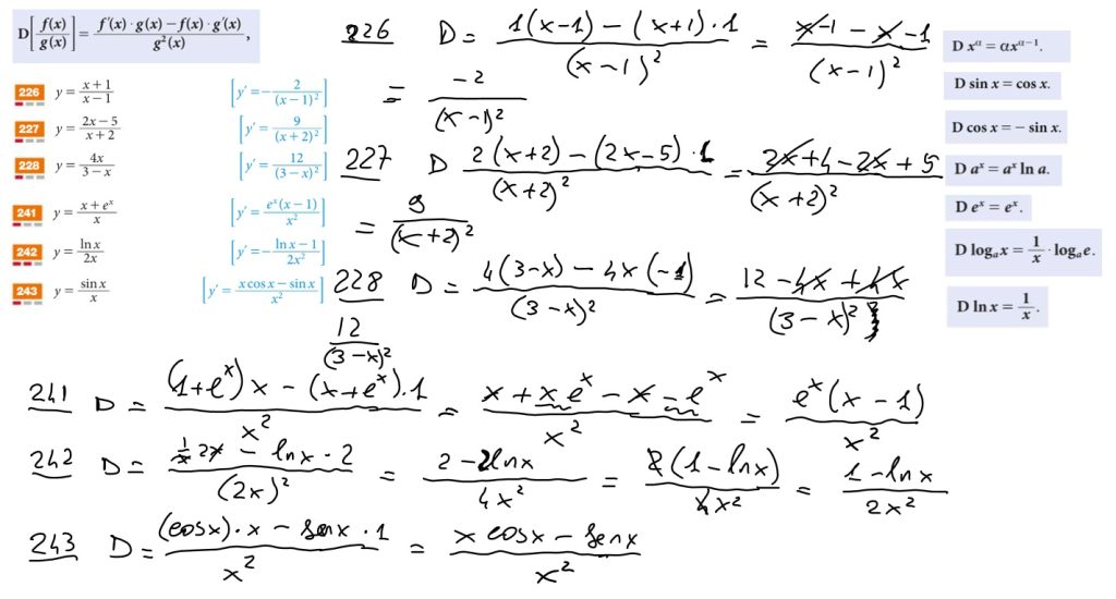
Le derivate – pag. 1343 es 226-227-228-241-242-243

da myphi | Mar 28, 2025 | Derivate, Matematica, Quinto | 0 commenti

Invia commento Annulla risposta

Il tuo indirizzo email non sarà pubblicato. I campi obbligatori sono contrassegnati *

Apply knowledge improving skills - Applicando le nostre conoscenze miglioriamo le nostre abilità