I principi della dinamica e
della relatività galileiana
Il primo principio della dinamica
Nessun risultato
La pagina richiesta non è stata trovata. Affina la tua ricerca, o utilizza la barra di navigazione qui sopra per trovare il post.
Il principio di relatività galileiana
Nessun risultato
La pagina richiesta non è stata trovata. Affina la tua ricerca, o utilizza la barra di navigazione qui sopra per trovare il post.
Il secondo principio della dinamica
Il secondo principio della dinamica
Esercizio 6 - Chiara si trova in un ascensore di massa 1,0 t che sale alla velocità costante di 10 m/s. Le cade dalla tasca la penna da un’altezza di 1,2 m, ma questa volta nel momento in cui l’ascensore comincia a rallentare sottoposto a una forza costante di 3,0 ×...
Il secondo principio della dinamica
Esercizio 5 - Un automobilista viaggia a una velocità costante di 80 km/h, quando vede un cervo attraversare la strada a una distanza di 60 m. Per lo spavento inchioda e blocca tutte e quattro le ruote, scivolando sull’asfalto fino a fermarsi. Il coefficiente di...
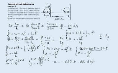
Il secondo principio della dinamica
Esercizio 4 - Un’auto lanciata a una velocità di 90 km/h vede un ostacolo davanti a sé e si arresta in 50 m frenando su una strada orizzontale. Schematizziamo l’azione dei freni come l’applicazione di una forza costante all’auto. Quanto vale il modulo...
I sistemi di riferimento non inerziali e le forze apparenti
Nessun risultato
La pagina richiesta non è stata trovata. Affina la tua ricerca, o utilizza la barra di navigazione qui sopra per trovare il post.
Il terzo principio della dinamica
Nessun risultato
La pagina richiesta non è stata trovata. Affina la tua ricerca, o utilizza la barra di navigazione qui sopra per trovare il post.


